An SCR can be switched from off-state to on-state in several ways; these are forward-voltage triggering, dv/dt triggering, temperature triggering, light triggering and gate triggering,
see art. The instant of turning on the SCR cannot be controlled by the first three methods listed above. Light triggering is a method used to control the turn-on instant of a silicon-controlled rectifier (SCR) in certain applications, especially in series-connected strings.Gate triggering is, however, the most common method of turning on the SCRS, because this method lends itself accurately for turning on the SCR at the desired instant of time. In addition, gate triggering is an efficient and reliable method. In this section, firing circuits for thyristors are studied in detail.
Main Features of Firing Circuits
The most common method for controlling the onset of conduction in an SCR is by means of gate voltage control. The gate control circuit is also called firing, or triggering circuit. These gating circuits are usually low-power electronic circuits.A firing circuit should fulfil the following two functions.
(i) "If power circuit has more than one SCR, the firing circuit should produce gating pulses for each SCR at the desired instant for proper operation of the power circuit. These pulses must be periodic in nature and the sequence of firing must correspond with the type of thyristorised power controller".
For example, in a single-phase semiconductor using two SCRS, the triggering circuit must produce one firing pulse in each half cycle; in a 3-phase full converter using six SCRs, gating circuit must produce one trigger pulse after every 60° interval.
(ii) "The control signal generated by a firing circuit may not be able to turn-on an SCR. It is therefore common to feed the voltage pulses to a driver circuit and then to gate-cathode circuit. A driver circuit consists of a pulse amplifier and a pulse transformer".
A regulated dc power supply is obtained from an alternating voltage source. Pulse generator, supplied from both ac and dc sources, gives out voltage pulses which are then fed to pulse amplifier for their amplification. Shielded cables transmit the amplified pulses to pulse transformers. The function of pulse transformer is to isolate the low-voltage gate-cathode circuit from the high-voltage anode-cathode circuit.
 |
| A general layout of the firing circuit scheme for SCRs |
Components of a Firing Circuit
A typical firing circuit consists of various components that work together to generate a suitable triggering pulse for the thyristor. These components include:
- Triggering Source: The triggering source provides the initial pulse to initiate conduction in the thyristor. It can be a microcontroller, microprocessor, timer, or any other pulse-generating device.
- Pulse Transformer: The pulse transformer is an essential component that provides electrical isolation between the triggering source and the thyristor. It steps up or steps down the voltage levels and transfers the pulse to the gate terminal.
- Gate Pulse Amplifier: The gate pulse amplifier amplifies the triggering pulse to a level sufficient to turn on the thyristor. It ensures that the pulse is strong enough to overcome the forward voltage drop across the device.
- Gate Resistance: The gate resistance is connected in series with the gate terminal of the thyristor. It limits the gate current to a safe level and protects the device from excessive current stress.
- Snubber Circuit: In some applications, a snubber circuit is employed in conjunction with the firing circuit. It suppresses voltage transients and protects the thyristor from excessive voltage spikes during switching operations.
Working Principle of a Firing Circuit
The firing circuit operates based on the principle of pulse generation and amplification. When the triggering source sends a pulse, it is amplified by the gate pulse amplifier and transferred to the gate terminal of the thyristor through the pulse transformer.
The pulse causes the thyristor to switch from the blocking state to the conducting state, allowing current to flow through the device. Once triggered, the thyristor remains in the conducting state until the current falls below a certain threshold or until it is intentionally turned off.
Resistance and Resistance-Capacitance Firing Circuits
Resistance (R) and resistance-capacitance (RC) firing circuits are not commonly used in commercial applications today, they still hold relevance for understanding the fundamental principles of triggering silicon-controlled rectifiers (SCRs). These circuits offer simplicity and cost-effectiveness in triggering SCRs, making them valuable for educational purposes and certain niche applications.
In an SCR firing circuit, the goal is to provide a triggering pulse to turn on the SCR at the desired time. The resistance firing circuit achieves this by using a resistor in series with the SCR gate. When a voltage is applied across the SCR gate and cathode, a small leakage current flows through the gate circuit, turning on the SCR. The resistance firing circuit uses the discharge of a capacitor through a resistor to generate a gate voltage pulse, triggering the SCR.
The RC firing circuit enhances the triggering process by introducing a capacitor in parallel with the resistor. The capacitor charges through the resistor until it reaches a voltage level sufficient to trigger the SCR. At that point, the capacitor discharges rapidly through the SCR gate, turning it on.
These firing circuits offer simplicity and low cost because they require minimal components and are relatively easy to understand and implement.
Triggering or Firing Circuits of Thyristor or SCR
The most commonly used firing or triggering circuits for thyristors or silicon-controlled rectifiers (SCRs) include the
- Resistance Firing Circuit (R-Firing), Resistance-Capacitance Firing (RC-Firing), and
- UJT-Firing Circuit.
Resistance Firing Circuit (R-Firing)
The following depicts the circuit setup and waveforms of the resistance firing circuit. This circuit provides a basic means of regulating the firing angle of the SCR. It allows for a limited range of 0° to 90° for the firing angle variation. Rather than delivering gate pulses to the thyristor, an AC supply is applied to the gate terminal for initiating firing."
Resistance trigger circuits are the simplest and most economical. They however, suffer from a limited range of firing angle control ( 0 deg to 90°), great dependence on temperature and difference in performance between individual SCRS.
 |
| Resistance Triggering Circuit of Thyristor and Related Voltage Waveforms |
Working of Resistance Firing Circuit (R-Firing)
The resistance firing circuit, also known as the R-Firing circuit, is used to control the firing angle of a thyristor and regulate the output voltage. Let's understand the working of the circuit in more detail:
1. Positive Half-Cycle:
- During the positive half-cycle of the input voltage source (VS), the thyristor (T) is forward-biased but doesn't conduct because there is insufficient gate current (IG).
- As a result, the load voltage (VL) remains zero.
2. Increasing Voltage:
- As the input voltage source (VS) increases, both the thyristor (T) and the diode in the circuit become forward-biased.
- This allows gate current (IG) to flow in the circuit.
- When the gate current (IG) reaches a value equal to IG(min) (minimum gate current required to trigger the thyristor), the thyristor is turned ON.
- Once the thyristor is triggered, the load voltage (VL) follows the source voltage (VS), and the voltage drop across the thyristor (VT) is equal to the on-state voltage drop.
- The load voltage starts to appear across the load resistance.
3. Negative Half-Cycle:
- During the negative half-cycle of the input voltage, the thyristor (T) becomes reverse-biased and turns OFF.
- As a result, the load voltage (VL) becomes zero again.
- The voltage across the thyristor (VT) during this time will be equal to the source voltage (VS).
4. Gate Protection:
- A diode is included in the gate circuit to prevent the reverse voltage during the negative half-cycle from exceeding the peak reverse voltage of the thyristor.
- This diode ensures that the thyristor is protected from excessive reverse voltage.
5. Firing Angle Control:
- By varying the variable resistance (RV), the firing angle (α) and the output voltage can be controlled.
- If the variable resistance (RV) is large, the gate current (IG) will be small, resulting in a larger firing angle (α).
- On the other hand, if the variable resistance (RV) is small, the gate current (IG) will be larger, leading to a smaller firing angle (α).
- By adjusting the firing angle, the conduction period of the thyristor can be controlled, which in turn controls the output voltage.
Advantages of Resistance Firing Circuit
- The firing circuit is very easy and simple to operate.
- Resistance trigger circuits are the simplest and most economical.
- great dependence on temperature and difference in performance between individual SCRS.
- The firing angle can be varied from 0° to 90°.
- By using a capacitor and a diode, the limited firing angle issue is resolved.
Disadvantages of Resistance Firing Circuit
- Limited firing angle i.e., up to 90° only.
- The firing angle is totally dependent on the minimum gate current of thyristors.
- The value of minimum gate current changes between the thyristors.
- temperature-dependent circuit.
Resistance-Capacitance Firing Circuit (RC-Firing)
An RC-firing circuit, also known as a resistance-capacitance firing circuit, is a type of circuit used to control the firing angle of a thyristor or a triac in power electronic applications. It overcomes some limitations of a simple resistance firing circuit by introducing a combination of resistance and capacitance components.Both types of RC-firing circuits provide a wider range of firing angle control compared to a simple resistance firing circuit. The ability to adjust the firing angle from 0 to 180 electrical degrees allows for more precise control over the power delivered to loads in various applications, such as motor speed control, lighting control, and power converters.There are two main types of RC-firing circuits:
- RC half-wave firing circuit and
- RC full-wave firing circuit.
RC Half-Wave Firing Circuit
- This circuit is used to control the firing angle of a thyristor or a triac in a half-wave AC circuit.
- It consists of a resistor (R) and a capacitor (C) connected in series with the gate terminal of the thyristor or triac.
- The resistor limits the charging current of the capacitor, while the capacitor charges and discharges to control the gate trigger voltage.
- By varying the resistance or the capacitance, the timing of the gate trigger voltage can be adjusted, thus controlling the firing angle.
 |
| RC Half Wave Triggering Circuit of Thyristor and Related Voltage Waveforms |
The above figure illustrates the RC half-wave firing circuit. The capacitor charges to the negative peak of the ac voltage in every negative half-cycle through the diode D2. During the positive half-cycle, it begins to charge through the resistance RV. When the voltage across the capacitor reaches the required positive value, the thyristor is fired and the capacitor voltage remains almost constant.
The diode D1 prevents the breakdown of the gate-cathode junction during the negative half-cycle. For power frequencies, the value of RV C for zero output voltage is empirically given by,
The maximum value of variable resistance RV is given by,
If the value of RV is high, then the capacitor takes more time to charge. Hence the firing angle is more but the average output is low and vice-versa. In order to have more output, the value of RV should be less.
RC Full-Wave Firing Circuit
- This circuit is used to control the firing angle of a thyristor or a triac in a full-wave AC circuit.
- It consists of two resistors (R1 and R2) and a capacitor (C) connected in different configurations with the gate terminal of the thyristor or triac.
- The resistors and capacitor work together to control the gate trigger voltage by adjusting the charging and discharging rates of the capacitor.
- By varying the resistances or the capacitance, the timing of the gate trigger voltage can be adjusted, allowing control over the firing angle.
The advantages of a full-wave firing circuit over a half-wave firing circuit are,
- Power can be delivered to load both during positive and negative half-cycles because of the full-wave bridge diode.
- The firing angle can be controlled from 0° to 180°.
- The power delivered to the load is doubled.
- The output voltage is present even in the negative half cycle.
 |
| RC Full Wave Triggering Circuit of Thyristor and Related Voltage Waveforms |
The above figures illustrates the RC full-wave firing circuit.
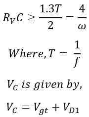
Initially, the capacitor starts charging from zero voltage, and this low voltage is achieved by the clamping action of the SCR gate. When VC reaches Vgt, SCR is turned-ON and ac line voltage which is rectified into dc by a full-wave diode bridge appears across the load. In this circuit, RVC and RV are given by,
Advantages of RC Firing Circuit
- The firing angle limitation in the R-firing circuit is overcome by the RC-firing circuit.
- The firing angle range is between 0 and 180°.
- The circuit is cheap, simple, and also acts as a snubber circuit.
Disadvantages of RC Firing Circuit
- The values of RV and C changes with respect to temperature.
- The firing angle depends upon the RC time constant.
- Supply fluctuations have effects on firing angle.
- It is only applicable in power circuits where only one thyristor is used.
- It can be used only in open-loop control systems.
UJT Firing Circuit
The UJT firing circuit is a method of generating gate pulses for thyristors (such as SCR or TRIAC) using a UJT (Unijunction Transistor) as a relaxation oscillator. It offers advantages over R-firing and RC-firing circuits in terms of power dissipation, pulse characteristics, and frequency stability.
In the UJT firing circuit, the UJT operates as a relaxation oscillator. Initially, the UJT is in a non-conducting state. The capacitor in the circuit starts charging through a variable resistance (RV) connected to a DC power supply. As the capacitor voltage increases, it reaches the peak voltage (VP) level of the UJT. At this point, the UJT triggers and starts conducting.
 |
| UJT Firing Circuit of SCR and Related Voltage Waveforms |
Once the UJT conducts, the capacitor starts discharging through the UJT and a load resistor connected in series. As the voltage across the capacitor decreases, it reaches the valley voltage (VV) of the UJT, causing the UJT to turn off and stop conducting. At this stage, the capacitor begins to charge again from the power supply.
This charging and discharging process repeats, generating a series of sharp and repetitive pulses with good rise time. These pulses are applied to the gate terminal of the thyristor, effectively triggering it. The firing angle, which determines when the thyristor turns on in each cycle of the AC waveform, can be varied by adjusting the value of the variable resistance (RV) that controls the capacitor charging time.
By using the UJT firing circuit, the power dissipation in the gate circuit of the thyristor can be reduced compared to R-firing and RC-firing circuits. The UJT provides better frequency stability under voltage fluctuations and temperature variations, ensuring consistent and reliable triggering of the thyristor. Additionally, the sharp and well-defined pulses produced by the UJT contribute to improved performance of the firing circuit.
Applications of Firing Circuits
Firing circuits are widely used in various applications that involve thyristors. Some common applications include:
- AC Motor Drives: Firing circuits are employed in motor control systems to regulate the speed and torque of AC motors. By controlling the firing angle and duration of the thyristor, the motor's performance can be adjusted accordingly.
- Power Supplies: Firing circuits are essential in power supply systems to regulate the output voltage and current. They enable precise control over the power flow, ensuring stable and reliable operation.
- Heating Systems: Firing circuits play a vital role in controlling the power delivered to heating elements. They help maintain the desired temperature and prevent overheating or underheating.
- AC Voltage Regulators: Firing circuits are used in AC voltage regulators to adjust the output voltage levels as per the load requirements. They ensure a consistent and stable supply voltage.
Comments